作者:Jiang, S; Lu, HL; Liu, JC; Lin, YS; Dai, MY; Yan, CL
影响因子:2.41
刊物名称:ESTUARINE COASTAL AND SHELF SCIENCE
出版年份:2018
卷:202 页码:134-144
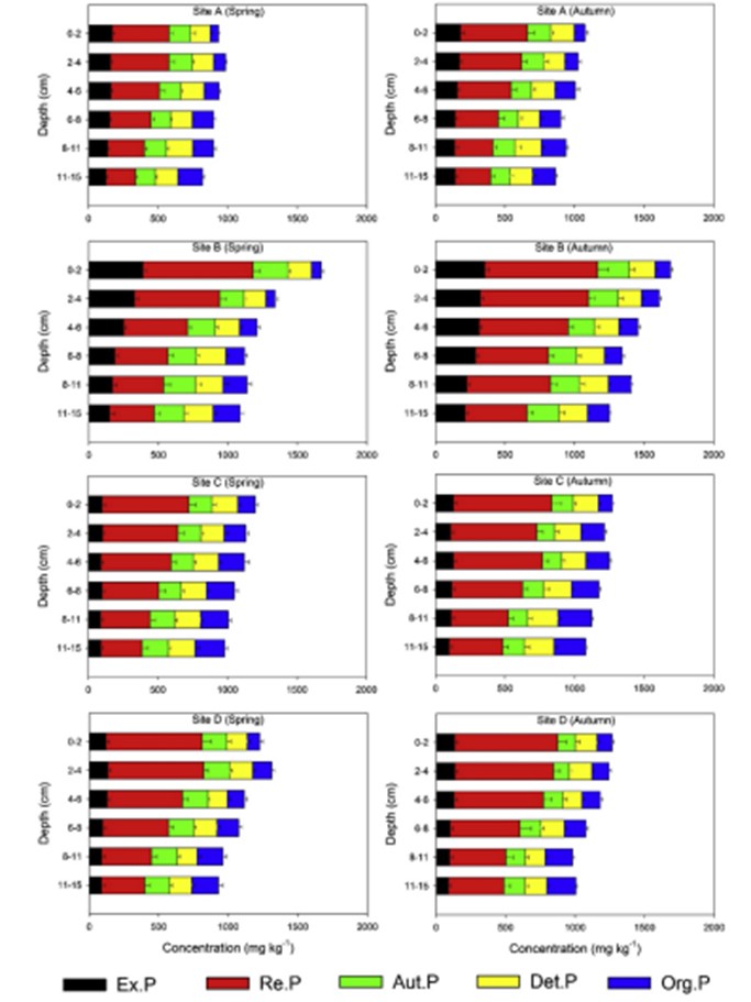
Mangroves are known for sequestering and storing large quantities of phosphorus (P) within their sediments. In the present study, the sediment P cycle (including phosphatase activity intensity, total sedimentary P, P fractions distinguished by a sequential extraction method, as well as diffusionadsorption processes) in a mangrove swamp in a subtropical estuary in China was studied. In the spring, the acid phosphatase activity varied between 1.3 and 1.9 units in the four sites in the estuary. The activity of alkaline phosphatase varied from 0.8 to 1.4 units. The total sedimentary P ranged from 821 to 1689 mg kg-1 with a dominance of redox-sensitive (Fe/Al bound) P. In the autumn, activities of both phosphatases and the total sediment P amount increased, probably due to enhanced inputs of organic matter and Fe oxides. In addition to seasonal variation, P in the mangrove sediment was influenced by anthropogenic activities. In particular, redox-sensitive P decreased significantly while phosphatase activity increased in the site that was flushed with aquaculture pond effluents. In contrast, sediment P enrichment was observed in the site that received domestic sewage. Both sources of anthropogenic P increased the eutrophication risk of the mangrove sediment because of a decrease in the amount of P adsorption and an enhancement of P release via diffusion. Diesel contamination due to the presence of a dock depressed phosphatase activity in the surficial sediment. The overlap between seasonal rhythm and human influences may introduce significant variations in P cycling, which warrants further attention from coastal management.

Figure 3. P storage and fractions in the mangrove sediments collected from both spring and autumn. Data represent means ± standard deviations.