作者:Zhang, YY; Latzel, V; Fischer, M; Bossdorf, O
影响因子:3.87
刊物名称:HEREDITY
出版年份:2018
卷:121(3) 页码:257–265
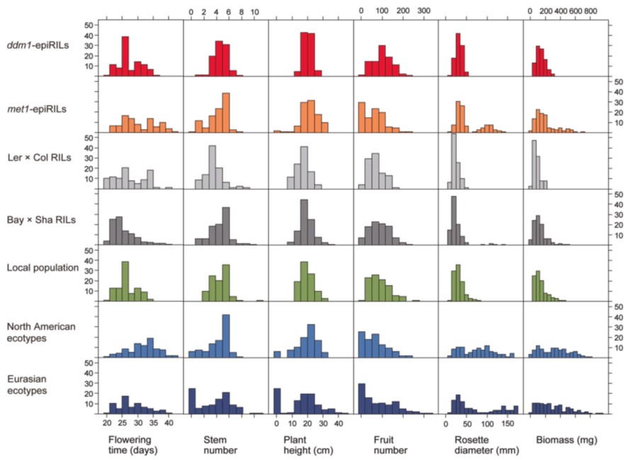
Increasing evidence for epigenetic variation within and among natural plant populations has led to much speculation about its role in the evolution of plant phenotypes. However, we still have a very limited understanding of the evolutionary potential of epigenetic variation, in particular in comparison to DNA sequence-based variation. To address this question, we compared the magnitudes of heritable phenotypic variation in epigenetic recombinant inbred lines (epiRILs) of Arabidopsis thaliana—lines that mainly differ in DNA methylation but only very little in DNA sequence—with other types of A. thaliana lines that differ strongly also in DNA sequence. We grew subsets of two epiRIL populations with subsets of two genetic RIL populations, of natural ecotype collections, and of lines from a natural population in a common environment and assessed their heritable variation in growth, phenology, and fitness. Among-line phenotypic variation and broad-sense heritabilities tended to be largest in natural ecotypes, but for some traits the variation among epiRILs was comparable to that among RILs and natural ecotypes. Within-line phenotypic variation was generally similar in epiRILs, RILs, and ecotypes. Provided that phenotypic variation in epiRILs is mainly caused by epigenetic differences, whereas in RILs and natural lines it is largely driven by sequence variation, our results indicate that epigenetic variation has the potential to create phenotypic variation that is stable and substantial, and thus of evolutionary significance.

Figure 1 Distributions of phenotypes within different groups of Arabidopsis thaliana (RILs = genetic recombinant inbred lines; epiRILs = epigenetic recombinant inbred lines), for six different phenotypic traits, when compared in a common greenhouse environment. Plants with large rosette diameter (in met1-epiRILs, Bay × Sha RILs, and ecotypes) are late-flowering, whereas plants with zero height and number of fruits are individuals that did not bolt or flower during the experiment, possibly representing a winter-annual strategy. The geographic (Eurasian or North American) collections of ecotypes are in blue, the local European population in green, RILs in grey, and epiRILs in orange