作 者:Chen, LZ;Wang, WQ
影响因子:0.915
刊物名称:JOURNAL OF COASTAL RESEARCH
出版年份:2017
卷:33(6) 页码: :1333-1340
As the only forests situated at the transition between land and sea, mangrove forests constitute one of the first
ecosystems vulnerable to rising sea level. When sea-level rises, plants are exposed to increased salinity, as well as tidal
flooding. The responses of mangrove forests to changing sea levels depend on the synergistic effects of tidal flooding and
salinity on plants, especially plants at the seedling stage. Therefore, the aims of this paper were to assess the ability of
viviparous mangrove Rhizophora stylosa Griff. seedlings to withstand tidal flooding given different seawater salinities,
as well as to investigate the effects of tidal flooding and salinity on plant growth. To accomplish this, a mesocosm
experiment was initiated to examine the synergistic effects of tidal flooding and salinity on the growth and physiology of
R. stylosa samples subjected to seven tidal flooding times (0, 2, 4, 6, 8, 10, and 12 h simulated semidiurnal tide, twice
daily) and two levels of water salinity (15 and 30 PSU [practical salinity units]) over the course of 100 days. Throughout
the experimental period, R. stylosa seedlings exhibited the traits of flood-tolerant plants, including such mechanisms as
high stem growth rate and leaf assimilation rate, as well as efficient utilization of carbohydrate reserves stored in
hypocotyls of seedlings. The growth and physiological responses of R. stylosa seedlings were significantly affected by both
salinity and flooding time. However, elevated salinity had less effect on growth and metabolism than simulated sea-level
rise by the increase of flooding time. From these results, it can be concluded that R. stylosa at higher salinity exhibits
competitive dominance and thus good adaptation of seedlings to future predicted rise in sea level, which could
presumably result in niche shifting.

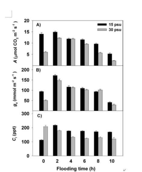
Fig. 6.(A) Assimilation rates (A), (B) stomatal conductance (gs), and (C)
intercellular CO2 concentration (Ci) of the leaves of Rhizophora stylosa
seedlings cultivated under different flooding times with saline treatments.
Vertical bars indicate standard errors of the mean (n¼3).