作 者:Chen, L;Huang, XJ影响因子:2.959
刊物名称:JOURNAL OF AGRICULTURAL AND FOOD CHEMISTRY
出版年份:2016
卷:64 页码: 8684−8693
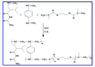
In the present study, a new multiple monolithic fiber solid-phase microextraction (MMF-SPME) based on poly(apronalco-divinylbenzene/ethylenedimethacrylate) monolith (APDE) was synthesized. The effect of the preparation parameters of APED on extraction efficiency was studied thoroughly. The combination of APDE/MMF-SPME with high-performance liquid chromatography tandem mass spectrometry detection (HPLC/MS-MS) was developed for sensitive monitoring of ultratrace fluoroquinolones (FQs) in foodstuffs, including milk and honey samples. Under the optimized experimental conditions, the limits of detection (S/N = 3) for the targeted FQs ranged from 0.0019 to 0.018μg/kgin milk and 0.0010 to 0.0028μg/kgin honey. The relative standard deviations (RSDs) for method reproducibility were less than 9% in all samples. The established method was successfully applied for the monitoring of FQs residues in milk and honey samples with the recoveries between 74.5% and 116% (RSDs were in the range 0.9-9.5%). In comparison to previous methods, the developed APDE/MMF-SPME-HPLC/MS-MS showed some merits, including satisfactory sensitivity, simplicity, high cost-effectiveness, and low consumption of organic solvent.

Fig. 1.Reaction sketch of the poly(AP-co-DB/ED) monolith.