作 者:Hu, J., Lan, W.L.,Huang, B.Q., Chiang, K.P.,and Hong, H.S.影响因子:2.215
刊物名称:Estuarine, Coastal and Shelf Science
出版年份:2015
卷:166 期:4 页码: 170-177
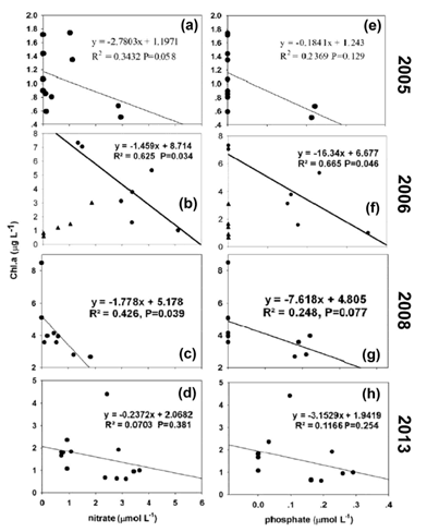
Using thefield data during four summer cruises of 2005, 2006, 2008 and 2013, an interesting phenomenon of low nutrient and high Chl.a(LNHC) was observed in the coastal upwelling system offDongshan in the southern Taiwan Strait. The results indicated that the upwelling region was dominated by cold (<25 ℃) and saline (>33.9 psu) upwelled water, and the concentration of nitrate (<1 μm) and phosphate (<0.1 μm) was very low, while with high chl.acontent (mean 1.98-3.56 μg L-1, maximum8.3μg L-1) during the stronger summer upwelling cruise of 2005, 2006 and 2008. The upwelled water originated from the 50-100 m layer off Shanwei with a low concentration of nitrate (<7 .5μg l-1) and phosphate (<0 .5μg l-1), which was transported to Shantou-Dongshan by the northeastward bottom current. During the time that the upwelled water moved the long-distance (150-300 km) from Shanwei to Shantou-Dongshan and was transported through the euphotic zone alongshore, the phytoplankton grew rapidly due to the favorable temperature, N/P ratio and illumination, and consumed most of the nutrients in the upwelled water. These unique physical, chemical and biological processes are the main reasons for the formation of the low nutrients/high chlorophyll a in this coastal upwelling system in the southern Taiwan Strait.

Fig.5.The relationship between nutrients (nitrate and phosphate) and Chl.ain alongshore transects during the summer cruises of 2005 (a, e), 2006 (b, f), 2008 (c, g) and 2013 (d, h) respectively in the coastal upwelling areas in the southern Taiwan Strait. *The triangle points in the b and f represent the data of Pearl River plume.