Qiao H.M., Liu W.W., Zhang Y.H., Zhang Y.Y. and Li Q.S.Q.. 2019. Molecular Ecology, 28(17): 4012-4027.
Genetic admixture, the intraspecific hybridization among divergent introduced sources, can immediately facilitate colonization via hybrid vigor and profoundly enhance invasion via contributing novel genetic variation to adaption. As hybrid vigor is short‐lived, provisioning adaptation is anticipated to be the dominant and long-term profit of genetic admixture, but the evidence for this is rare. We employed the 30 years' geographic‐scale invasion of the salt marsh grass, Spartina alterniflora, as an evolutionary experiment and evaluated the consequences of genetic admixture by combining the reciprocal transplant experiment with quantitative and population genetic surveys. Consistent with the documentation, we found that the invasive populations in China had multiple origins from the southern Atlantic coast and the Gulf of Mexico in the US. Interbreeding among these multiple sources generated a “hybrid swarm” that spread throughout the coast of China. In the northern and mid-latitude China, natural selection greatly enhanced fecundity, plant height and shoot regeneration compared to the native populations. Furthermore, genetic admixture appeared to have broken the negative correlation between plant height and shoot regeneration, which was genetically‐based in the native range, and have facilitated the evolution of super competitive genotypes in the invasive range. In contrast to the evolved northern and mid‐latitude populations, the southern invasive populations showed slight increase of plant height and shoot regeneration compared to the native populations, possibly reflecting the heterotic effect of the intraspecific hybridization. Therefore, our study suggests a critical role of genetic admixture in accelerating the geographic invasion via provisioning rapid adaptive evolution.

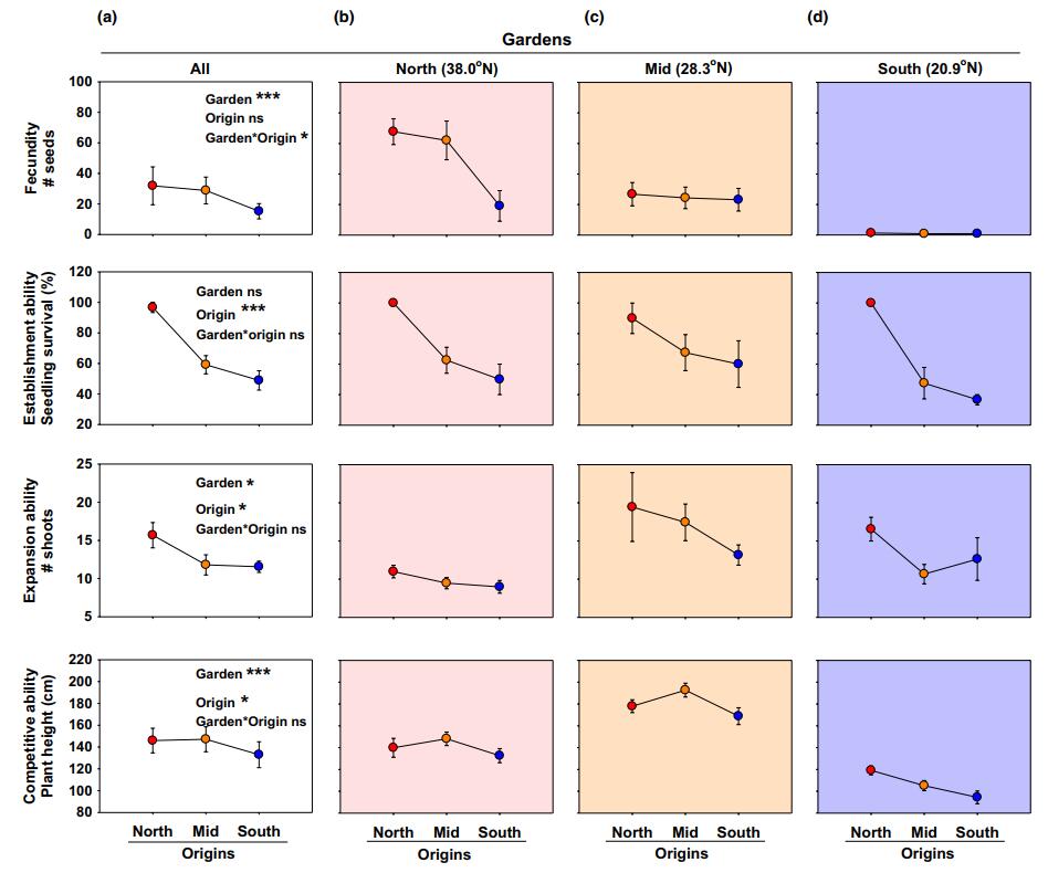
Figure 1. Performance of Spartina alterniflora in gardens reciprocally transplanted at different latitudes in the invasive range. The plant phenotypes are averaged over three gardens (a) and calculated for the northern (b), mid-latitude (c) and southern garden (d). Red, orange, and blue circles indicate the population means (±SE) of two northern, four mid-latitude and three southern invasive populations. [Colour figure can be viewed at wileyonlinelibrary.com]