Wang Q., Mei D.G., Chen J.Y., Lin Y.S., Liu J.C., Lu H.L. and Yan C.L.. 2019. Water Research, 148: 142-152.
Glomalin-related soil protein (GRSP) is a widespread glycoprotein found to have strong ability of sequestering heavy metals in soils. However, the underlying mechanism for metal and metalloid removal as well as water quality improvement and the ecological role played by GRSP are still not well documented. This study was initiated to investigate the interconnection of metal loading in GRSP between sediments and suspended solids, focusing on the mobilization mechanisms of GRSP in the coastal mangrove wetland. Combined indicators of nine heavy metals were significantly positively correlated with GRSP concentration by Principal Component Analysis, indicating that GRSP could act as an indicator of contamination level in the mangrove wetlands. Large distribution of GRSP in sediments and suspended solids elevated sequestration potential of heavy metals (Fe, Mn, Cr, Cu, Zn, Ni, Cd, Pb) and metalloid arsenic in the mangrove aquatic ecosystem. GRSP mobilized and sequestered heavy metals in sediment profiles, which reduced the bioavailability of heavy metals. GRSP was also a significant contributor for suspended solids to adsorb heavy metals, enhancing suspended solids deposition and burial process in sediments. This new finding provided insights into the ecological functions of GRSP and the heavy metal cycling in wetland environments.

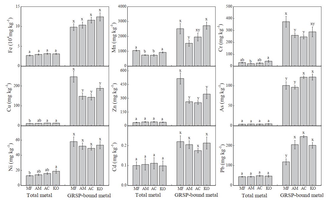
Figure 1. Comparison of total heavy metal concentrations and GRSP-bound metal concentrations in suspended solids. MF: Mudflat; AM: Avicennia marina; AC: Aegiceras corniculatum; KO: Kandelia obovata. “a-b” indicates significant differences (p < 0.05) between total heavy metal in suspended solids. “x-y” indicates significant differences (p < 0.05) between concentrations of GRSP-bound metals in suspended solids. Bars indicate standard error (n = 3).