Liu Q., Zhang R.J., Huang L., Zhang J.W., Zhuo S.Q., Wang Z., Yang Y.F., Abate R., Chen C.P., Gao Y.H. and Liang J.R.. 2021. Marine Pollution Bulletin, 167:112336.
To improve our knowledge of the factors regulating Phaeocystis globosa colony formation, the effects of the diatom Ditylum brightwellii on P. globosa colony development were investigated using co-culture and cell-free filtrate approaches. The co-culture experiments showed the moderate abundance of D. brightwellii significantly increased the number and size of colonies, whereas a dramatically decreased effect from high abundance of D. brightwellii. The low abundance of D. brightwellii promoted early formation of P. globosa colony. The cell-free filtrate experiments indicated that culture-filtrates from the exponential phase of D. brightwellii were stimulatory for P. globosa colony formation with more and bigger colonies formed, whereas an inhibitory effect from its senescence phase filtrates. D. brightwellii may influence P. globosa colony formation by regulating the growth of P. globosa solitary cells. Our results suggest that D. brightwellii influences P. globosa colony development, but its effects vary according to its concentrations and growth phases.


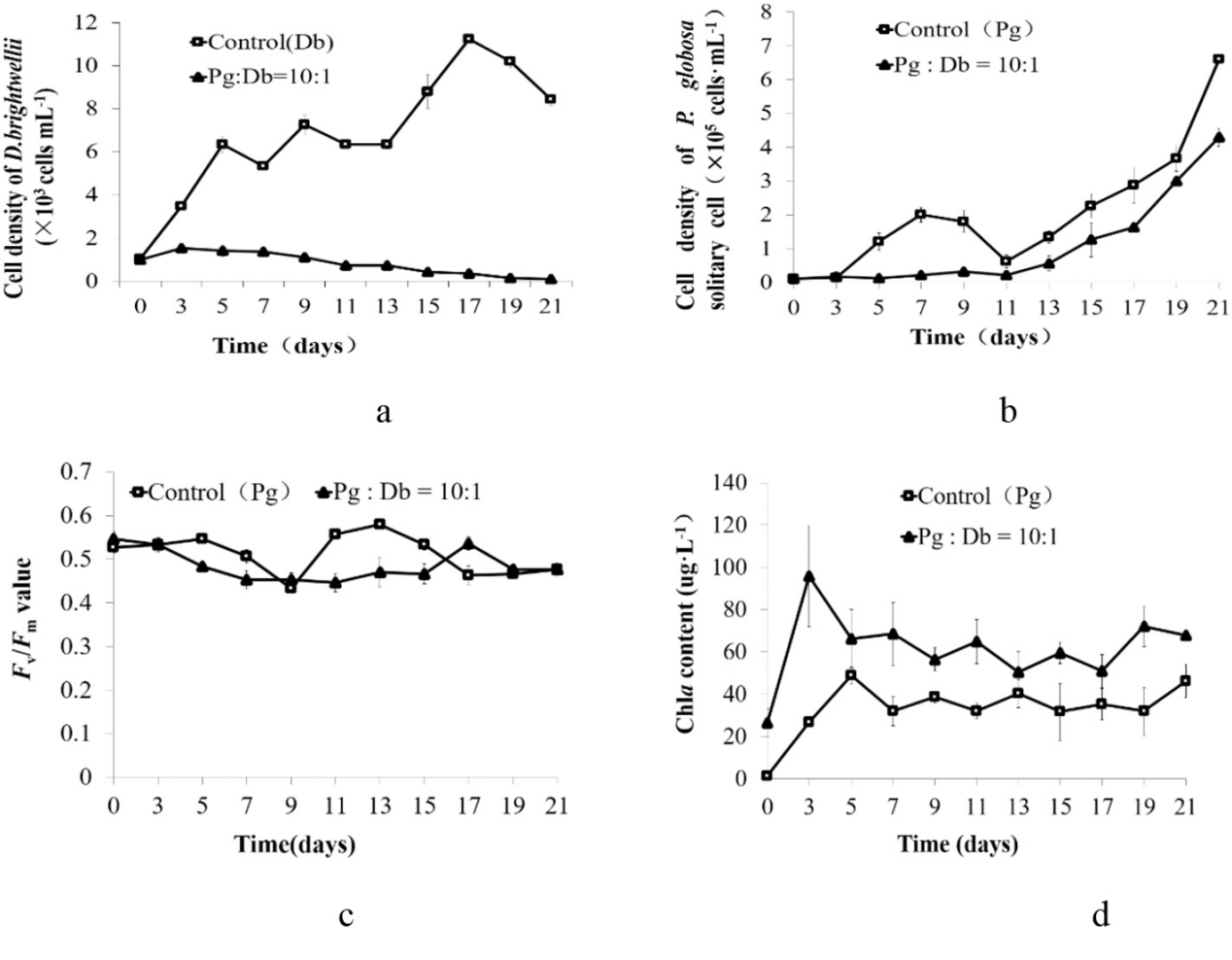
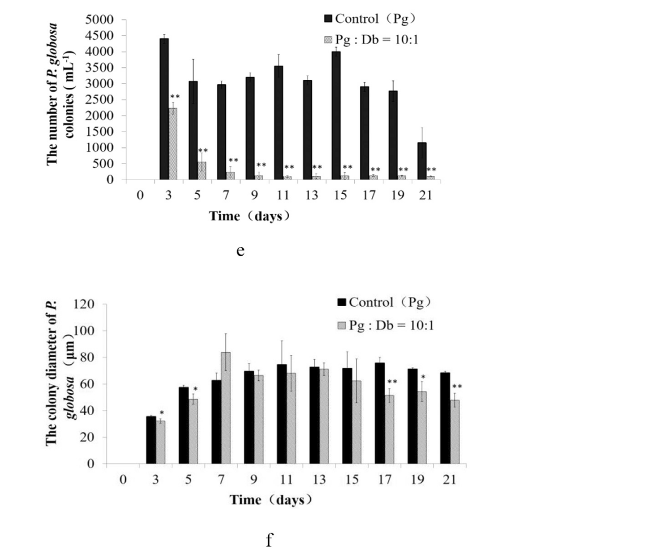
Figure 1. Physiological parameters of P. globosa and D. brightwellii in a bialgal culture and the control when the initial density of P. globosa was at a high level (104 cells mL-1). D. brightwellii cell concentration (a), P. globosa solitary cell concentration (b), the Fv/Fm value (c), chlorophyll α concentration (d), P. globosa colony concentration (e), and the diameter of the P. globosa colony (f). ** shows the difference is statistically significant at P < 0.01, * shows the difference is statistically significant at P < 0.05.