Ye Yong,
Y.P. Chen, G.C. Chen.Marine Environmental Research, 2013.83:
63-72.
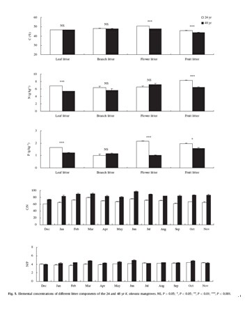
Spatial and seasonal variations in litter production and C, N, and
P concentrations were comparedbetween the 24 and 48 year old Kandelia obovata
mangrove forests in the Jiulongjiang estuary, China. The24 yr forest had
significantly higher production of total, leaf and branch litter, but lower
flower and fruitlitter than the 48 yr forest. Total, leaf and branch litter
production were significantly positively correlatedto monthly temperature and
rainfall. Spatial patterns of litter production among the inner, mid and
outerzones in the same forest were similar to those of tree heights. C, N and P
concentrations of leaf littershowed significant seasonality but varied little
among these three forest zones. C/N and N/P ratios of leaflitter were
significantly lower for the 24 yr forest than those for the 48 yr forest.
During the entiresampling year, total litter of the 24 and 48 yr forests
contained 590.31 and 437.31 g C m-2yr-1, 8.46and 5.47 g
N m-2yr-1, 1.92 and 1.16 g P m-2yr-1,
respectively.

返回