Liang, Z; Lu, Y; Cao, Z; Huang, X; Lei, H; Li, J; Wu, Z; An, X and Wang, P. Co-emissions of fluoride ion, fluorinated greenhouse gases, and per- and polyfluoroalkyl substances (PFAS) from different fluorochemical production processes. Environmental Pollution. 2024, 360, 124609.
氟化工行业在全球范围内广泛存在,生产过程会排放氟离子、氟化温室气体(如CFCs、HCFCs等)以及全氟和多氟烷基物质(PFAS),这些物质对臭氧层、气候变化和人类健康带来了显著威胁。虽然已有研究探讨了氟化工过程的污染影响,但对不同生产阶段污染物的具体排放特征仍缺乏细致分析。
本研究对福建省四个不同氟化工生产园区周边的水、土壤和气体样本进行了采集和检测。通过高效液相色谱-三重四极杆质谱(HPLC-MS)分析PFAS,结合气相色谱-质谱(GC-MS)系统检测卤代气体,揭示了不同阶段生产过程中的主要含氟污染物及其环境分布。
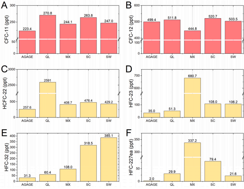
在对全氟污染物的工业源排放研究的基础上,利用生命周期评价的方法,将污染源追溯到萤石开采环节。在研究过程中,同时考虑了氟离子、含氟温室气体与全氟污染物的共排放关系,为氟化工的可持续生产和全球气候问题提供参考。研究发现(1)萤石开采活动除了造成氟离子的污染,还会带来CFC-12的共排放;(2)氟化工原料合成环节,在向水体和土壤中排放短链PFAS的同时,也同时造成HCFC-22、HFC-23温室气体的大气污染;(3)在传统PFAS的基础上,氟产品合成环节应更多关注PFAS替代品的大量排放和生态风险问题。
本研究首次系统性地评估了氟化工产业链各阶段的污染排放特征及其生态风险,为识别氟化工产品的环境足迹提供了新的科学数据。研究建议加强对PFAS替代品(如PFECA类)的污染监管,以防止其对生态系统和人类健康造成潜在风险。
该工作于2024年7月发表在Environmental Pollution期刊上,硕士研究生梁子安为论文第一作者,吕永龙教授为通讯作者。

氟离子、含氟温室气体和全氟化合物在氟化工业的排放模式

含氟温室气体在福建氟化工园区(清流、明溪、顺昌、邵武)的大气监测浓度