作者:Chen, GC; Gao, M; Pang, BP; Chen, SY; Ye, Y
影响因子:3.17
刊物名称:FOREST ECOLOGY AND MANAGEMENT
出版年份:2018
卷:422 页码:87-94
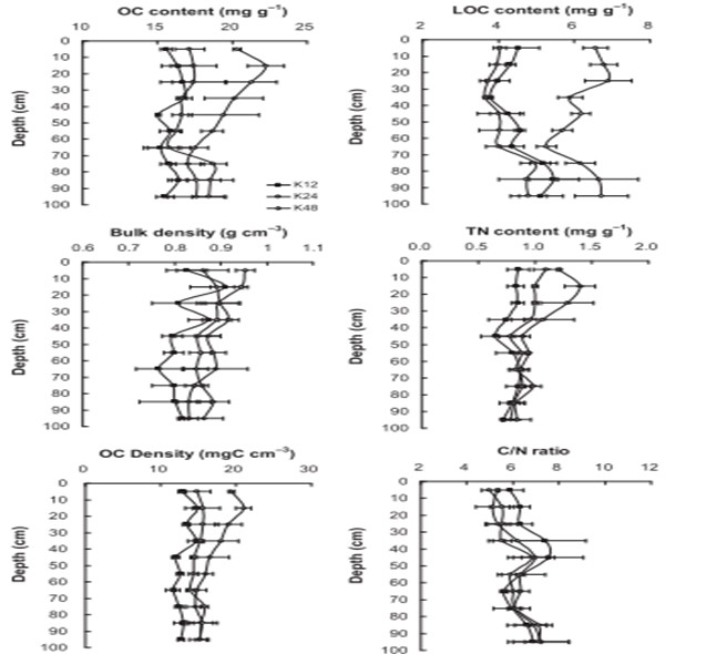
Knowledge of the changes in the soil organic carbon (OC) stock and its sources with forest age is crucial to understanding the carbon processes and carbon sequestration benefits associated with mangrove restoration. The present study compared the soil OC contents and stocks among three restored Kandelia obovata mangrove forests with different ages (12, 24 and 48 years) in South China. The contributions of mangrove and allochthonous suspended particulate organic matter (SPOM) in tidal water to soil OC were also estimated. The results showed increases in soil OC content and density with forest age, and the OC stocks in the top meter of soil were 13.0 ± 0.5 kg C m-2, 15.1 ± 0.7 kg C m-2 and 17.0 ± 0.9 kg C m-2 at the 12-year site, 24-year site and 48-year site, respectively. We also found a higher soil labile OC content at the 48-year site. The higher soil OC content was accompanied by more 13C-depleted OC in the older forests, and the significantly negative relationship between soil OC contents and δ13C values indicated that the increase in soil OC content relied on the input of 13C-depleted mangrove organic matter. Isotope mixing calculations showed that the soil OC was dominated by SPOM at the 12-year site but was dominated by both mangrove-derived OC and SPOM at the 48- year site. Moreover, the findings also suggested that the effect of mangrove restoration on the soil OC content and stock was more substantial in the upper soil layers.

Figure 2. Distribution of the soil organic carbon (OC) content, bulk density, OC density, labile OC (LOC) content, total nitrogen (TN) content and molar C/N ratio in different soil depth sections in the three restored K. obovata forests. The means and standard deviations of three replicates are shown. K12: 12-year forest; K24: 24- year forest; K48: 48-year forest.