作 者:Chen, GC;Lu, CY; Li, R; Chen, B; Hu, QF;Ye, Y影响因子:2.179
刊物名称:HYDROBIOLOGIA
出版年份:2016
卷:763 页码:125-133
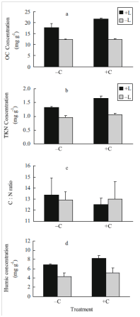
Sesarmid crabs play important roles in mangrove ecosystems as they affect litter carbon pool, nutrient recycling, and retention by their burrowing and foraging activities. The present study reported the effects of decomposition of Aegiceras corniculatum (L.) Blanco leaf and foraging on leaf litter by Parasesarma plicatum (Latreille, 1803) crabs on sediment nutrient concentrations and enzyme activities. Results showed no significant effects on sediment organic carbon (OC) and total nitrogen (TKN) concentrations due to non-leaf foraging activities ofP. plicatumcrabs. Concentrations of OC, TKN, and humics in sediment were higher in leaf decomposition treatment than in the control, and crab foraging activity accelerated the increase in organic matter, compared to either leaf litter decomposition or crab non-leaf foraging activity. Foraging on mangrove leaf litter by crabs also increased the activities of protease, urease, and invertase which are important in the metabolism of organic carbon and nutrients in sediment. The results further demonstrated that sesarmid crabs play important roles in the carbon and nutrient cycling in mangrove ecosystem, but the crabs had higher accumulation efficiency of leaf nitrogen to sediment than carbon.

Fig. 1.Concentrations of sediment OC (a), TKN (b), C: N ratio(c), and humics (d) in different treatments (n = 4.-C-L:control without crab or leaf litter; +C-L: treatment with crab but without leaf litter; -C+L: treatment with leaf litter ofAegiceras corniculatumbut without crab; +C+L: treatment with crab and leaf litter)