作 者:Chen, LandWang, W影响因子:0.862
刊物名称:JOURNAL OF COASTAL RESEARCH
出版年份:2016
DOI: 10.2112/JCOASTRES-D-16-00131.1
As the only forests situated at the transition between land and sea, mangrove forests constitute one of the first ecosystems vulnerable to rising sea level. When sea level rises, plants are exposed to increased salinity, as well as tidal flooding. The responses of mangrove forests to changing sea levels depend on the synergistic effects of tidal flooding and salinity on plants, especially plants at the seedling stage. Therefore, the aims of this paper were to assess the ability of viviparous mangroveRhizophora stylosaGriff. seedlings to withstand tidal flooding given different seawater salinities, as well as to investigate the effects of tidal flooding and salinity on plant growth. To accomplish this, a mesocosm experiment was initiated to examine the synergistic effects of tidal flooding and salinity on the growth and physiology ofR. stylosasamples subjected to seven tidal flooding times (0, 2, 4, 6, 8, 10, and 12 h simulated semidiurnal tide, twice daily) and two levels of water salinity (15 and 30 PSU [practical salinity units]) over the course of 100 days. Throughout the experimental period,R. stylosaseedlings exhibited the traits of flood-tolerant plants, including such mechanisms as high stem growth rate and leaf assimilation rate, as well as efficient utilization of carbohydrate reserves stored in hypocotyls of seedlings. The growth and physiological responses ofR. stylosaseedlings were significantly affected by both salinity and flooding time. However, elevated salinity had less effect on growth and metabolism than simulated sea-level rise by the increase of flooding time. From these results, it can be concluded thatR. stylosaat higher salinity exhibits competitive dominance and thus good adaptation of seedlings to future predicted rise in sea level, which could presumably result in niche shifting.

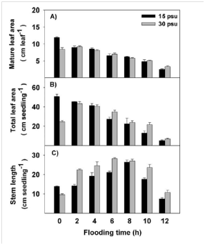
Fig. 3.Effects of flooding time and water salinity on the leaf area and stem length ofRhizophora stylosaseedlings: (A) mature leaf area; (B) total leaf
area; (C) growth of stem length. Vertical bars indicate standard errors of the mean (n=3).