Wang Q., Hong H.L., Yang D., Li J.W., Chen S., Pan C.L., Lu H.L., Liu J.C. and Yan C.L.. 2020. Environmental Pollution, 263:114565.
Knowledge regarding the exposure risk of heavy metals in estuarine wetland is important for people (especially fishermen and consumers of local fish) living in the coastal area and the coastal reclamation. Here, we assessed the ecological and human health risks of sediment-associated metals in the large-scale estuary area based on different sediment textures (Mud, Mud-Sand, and Sand). To investigate the potential impact of terrestrial material on the contamination risks, glomalin-related soil protein (GRSP), a recalcitrant soil protein fraction, was used. Results showed that the estuarine sediment texture played a rather important role in the heavy metal distribution, risk assessment, and the metal sequestration capacity of the land-derived GRSP fraction. We found arsenic, Pb, Cd, and Cr had the highest enrichment in the estuarine wetlands by calculating multiple contamination indices, and that confirmed similar findings of heavy metal contents, except Cd. The average pollution load index (PLI) was 1.67 in all the estuarine sediments, indicating multi-element contamination, with the Muddy sediments (PLI = 2.07) significantly higher than the Mud-Sand mixed sediments (PLI = 1.85), and the lowest (0.78 < 1) in the Sandy sediments. The health risk assessment suggested that the potential cancer risk occurred (>1.00E-6) but no obvious non-carcinogenic effects occurred (<1). Arsenic was found to be the primary contributor to non-carcinogenic risk, accounting for 44.2% of hazard index, while Ni is the primary control metal for carcinogenic risk (except arsenic in the Sandy sediments). As a proxy of terrestrial organic matter, GRSP fraction possessed a high sequestration capacity for heavy metal, especially in the Sandy sediments, and it was significantly associated with the mitigation of ecological and health risks, which may provide new insights into the in situ remediation of anoxic estuarine wetlands.

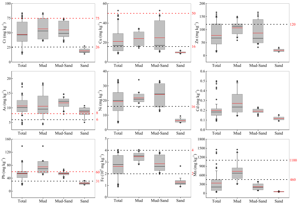
Figure 1. Heavy metal content (mg kg-1) of the estuarine sediments. The black horizontal line represents the median, and the red horizontal line represents the mean. The box represents the 25th-75th percentiles, and the whiskers represent the 10th-90th percentiles. The dash lines indicate regulatory limits according to Ontario Guidelines (black dashlines) and SQGs of USEPA (red dash lines). (For interpretation of the references to color in this figure legend, the reader is referred to the Web version of this article.)