作 者:Wu, G.R.,Lu, H.L.,Liu, J.C.,Yan, C.L.影响因子:1.281
刊物名称:Australian Journal of Botany
出版年份:2015
卷:63 期:8页:664-668
Levels of arsenic (As) contamination are generally increasing in the sediments of mangrove forests, which represent some of the world’s most threatened marine habitats. The highly anaerobic soils of these important coastal ecosystems are sulfide-rich, yet the potential role of sulfur (S) in the accumulation of As within mangrove tissues is poorly understood. To investigate those dynamics, the present study evaluated the effect of supplemental S on the accumulation5of As in mangrove(AegicerasconrniculatumL.) seedlings. We applied treatments in a 4×4 completely randomized factorial design that consisted of four S concentrations (0, 1, 2 and 4 g kg–1, in the form of S monomer) combined with four As concentrations (0, 30, 60 and 150 mg kg–1, in the form of Na2HAsO4·7H2O). Three replicates of each treatment combination were conducted. The experiment demonstrated that the effect of S was inversely related to As accumulation in the seedlings; it enhanced As accumulation when applied at low concentrations, and decreased its accumulation when10applied at high concentrations. Moreover, supplying S altered the relative concentration of the different forms of As in seedlings, namely As (V) and As (III), and significantly decreased their concentration in roots (P<0 .01). taken together, our results suggest that the addition of exiguous s can mitigate the toxicity of as to mangrove seedlings, which has implications for the remediation of polluted coastal areas that are vegetated with mangrove forests.

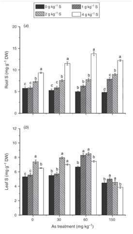
Fig.4.Effects of sulfur supply on sulfur (mg kg–1DW) accumulation in(a) roots and (b) leaves ofAegicerascorniculatumL. seedlings exposed toarsenic. Error bars indicate standard deviation (n = 3). Treatments labeled with different letters are significantly different from each other (P = 0.05).